Ser capaz de comprender los conceptos básicos e identificar los puntos fuertes y las limitaciones de técnicas de modelización alternativas, incluyendo:
Microsimulación (simulación Monte Carlo)
Simulación de eventos discretos
Modelos (dinámicos) de enfermedades infecciosas
Microsimulación (simulación Monte Carlo)
Simulación de eventos discretos
Modelos (dinámicos) de enfermedades infecciosas
Comparación de tipos de modelos
Simulación de Markov
Microsimulación
Sinónimos = microsimulación estocástica, modelo basado en el individuo, simulación Monte Carlo de 1er orden
Los individuos hipotéticos transitan por el modelo, uno por uno
Determinar el estado inicial, utilizando la distribución de probabilidades de inicio
Simular la trayectoria individual a través de los estados de salud, utilizando números aleatorios para determinar las transiciones reales (sí/no) a partir de las probabilidades de transición.
Registrar el número de ciclos en cada estado
Repitar los pasos 1-3 muchas veces (N)
Calcular el promedio de ciclos a partir de una muestra de N


[Pasar a Powerpoint…]
Contexto: Evaluación económica de la prevención de la tuberculosis entre las personas que viven con el VIH en Tanzania
La tuberculosis es responsable del >25% de las muertes entre las personas que viven con el VIH
La terapia preventiva con isoniazida (TPI) puede prevenir la tuberculosis entre las personas que reciben terapia antirretrovírica (TAR)
En la actualidad, los programas de VIH inician la terapia antirretrovírica en pacientes con recuentos medios de CD4 más elevados y un menor riesgo de tuberculosis según las guias de práctica clínica.
El objetivo era investigar cómo ha afectado este cambio al impacto sanitario y a la rentabilidad del TPI.
Zhu et al, The Lancet Global Health, 2022](images/paste-893141CB.png)
¿Por qué elegir un modelo de microsimulación?
Características a nivel individual como edad, sexo, recuento de células CD4
El seguimiento de la trayectoria individual es crucial para esta cuestión
El recuento de células CD4 cambia con el tratamiento del VIH
Las tasas de eventos (mortalidad y progresión de la tuberculosis) dependen del recuento de células CD4.
Un modelo de cohortes de Markov no sería capaz de captar estos complejos mecanismos.
Microsimulación

Simulación de eventos discretos

Similar a la microsimulación, SED simula un individuo a la vez \rightarrow Sujeto a estocasticidad
A diferencia de la microsimulación** (donde el tiempo está discretizado), el DES modela el tiempo continuamente
Ventajas
Más rápido: Omite los ciclos innecesarios en los que no se produce ningún evento
Más natural de aplicar cuando los datos se presentan como distribuciones de tiempo-acontecimiento (tiempo de espera, duración de la estancia en el hospital, tiempo desde el inicio hasta el tratamiento de enfermedades agudas).
Desventajas
Menos intuitivo: “el tiempo hasta la muerte se muestrea a partir de una distribución de Weibull de forma = 2,72, escala = 58,5” (SED) frente a “la probabilidad de muerte en el año 1 es de 0,038” (Microsim)
Estos pasos temporales pueden ser útiles aunque no se produzca ningún evento. (En el ejemplo VIH/TB, el recuento de células CD4 se actualiza cada ciclo para recalcular los riesgos de tuberculosis y muerte)
Graves et al, 2017
Hasta ahora todos los tipos de modelos que hemos analizado suponen que los individuos de la cohorte del modelo experimentan eventos de forma independiente
Pero, ¿qué ocurre con las enfermedades infecciosas (por ejemplo, COVID) en las que los individuos interactúan entre sí?
El modelo más clásico en epidemiología de enfermedades infecciosas. Apropiado para muchas enfermedades infecciosas comunes (por ejemplo, la gripe).
Fuente: Vynnycky, Emilia; White, Richard. An Introduction to Infectious Disease Modelización](images/paste-36EB7CF0.png)
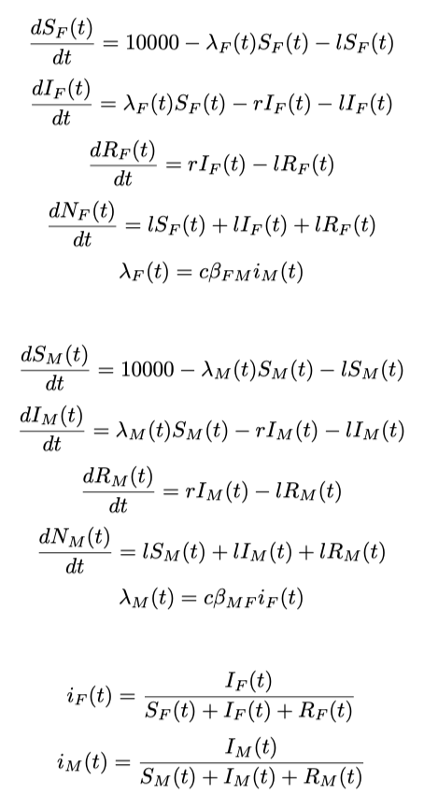
A partir del sencillo proceso SIR, podemos añadir más estructuras para reflejar el proceso de una enfermedad concreta, por ejemplo:
Mezcla de edad o sexo: apropiado para enfermedades de transmisión sexual.
Una etapa en la que los individuos están infectados pero no son infecciosos: apropiado para enfermedades con una fase latente, por ejemplo, tuberculosis, COVID-19
Los modelos dinámicos a menudo se expresan/suelven como ecuaciones en diferencias/diferenciales
Ejemplo:

Se pueden resolver a mano o utilizando softwares (por ejemplo, el paquete deSolve en R)
| Tipo de modelo | Puntos fuertes | Limitaciones |
|---|---|---|
| Árbol de decisión | Transparente Cálculos sencillos |
Dificultad para captar la progresión en el tiempo o los sucesos repetidos. |
| Cohorte de Markov | Captura de sucesos repetidos a lo largo del tiempo Rápida velocidad de ejecución |
Dificultad para captar la heterogeneidad individual o seguir el historial de eventos. Difícil de manejar un proceso de enfermedad complicado (sujeto a explosión de estados) |
| Tipo de modelo | Puntos fuertes | Limitaciones |
|---|---|---|
| Árbol de decisión | Transparente Cálculos sencillos |
Dificultad para captar la progresión en el tiempo o los sucesos repetidos. |
| Cohorte de Markov | Captura de sucesos repetidos a lo largo del tiempo Rápida velocidad de ejecución |
Dificultad para captar la heterogeneidad individual o seguir el historial de eventos. Difícil de manejar un proceso de enfermedad complicado (sujeto a explosión de estados) |
| Microsimulación | Fácil seguimiento del historial Muy potente y flexible |
Requiere un gran número de ejecuciones para converger Velocidad de ejecución más lenta |
| Tipo de modelo | Puntos fuertes | Limitaciones |
|---|---|---|
| Árbol de decisión | Transparente Cálculos sencillos |
Dificultad para captar la progresión en el tiempo o los sucesos repetidos. |
| Cohorte de Markov | Captura de sucesos repetidos a lo largo del tiempo Rápida velocidad de ejecución |
Dificultad para captar la heterogeneidad individual o seguir el historial de eventos. Difícil de manejar un proceso de enfermedad complicado (sujeto a explosión de estados) |
| Microsimulación | Fácil seguimiento del historial Muy potente y flexible |
Requiere un gran número de ejecuciones para converger Velocidad de ejecución más lenta |
| Simulación de eventos discretos | Fácil seguimiento histórico Más rápido que la microsimulación |
Requiere un gran número de ejecuciones para converger Las distribuciones tiempo-acontecimiento son menos intuitivas y más difíciles de obtener que las tasas/probabilidades de los acontecimientos. |
| Tipo de modelo | Puntos fuertes | Limitaciones |
|---|---|---|
| Árbol de decisión | Transparente Cálculos sencillos |
Dificultad para captar la progresión en el tiempo o los sucesos repetidos. |
| Cohorte de Markov | Captura de sucesos repetidos a lo largo del tiempo Rápida velocidad de ejecución |
Dificultad para captar la heterogeneidad individual o seguir el historial de eventos. Difícil de manejar un proceso de enfermedad complicado (sujeto a explosión de estados) |
| Microsimulación | Fácil seguimiento del historial Muy potente y flexible |
Requiere un gran número de ejecuciones para converger Velocidad de ejecución más lenta |
| Simulación de eventos discretos | Fácil seguimiento histórico Más rápido que la microsimulación |
Requiere un gran número de ejecuciones para converger Las distribuciones tiempo-acontecimiento son menos intuitivas y más difíciles de obtener que las tasas/probabilidades de los acontecimientos. |
| Dinámico | Capaz de captar la transmisión de enfermedades | Más requisitos de datos (por ejemplo, patrones de contacto en la población) Más caja negra |
Factores a tener en cuenta:
Cuestión política/intervenciones
Disponibilidad de datos
Historia natural de la enfermedad
Recursos informáticos disponibles